本文提供2026年3月GESP图形化编程三级完整真题试卷,涵盖单选题,判断题、编程题三大题型,附带标准答案及超详细逐题解析。适合备考GESP三级的Scratch学习者、编程机构教师、家长辅导使用。
本套GESP真题的免费线上考试环境: https://www.xiaomaigi.com/exam/98
━━━━━━━━━ 第一部分:单选题(每题2分,共15题) ━━━━━━━━━
单选题 第1题
在 2026 年春晚的《武BOT》节目中,一群机器人表演空翻:它们落地后晃一下又能站稳,还会移动保持队形整齐。如果把机器人看成一台计算机,它的[输入设备]就像耳朵、眼睛,用来从外面接收信息。那么,下面哪一个选项不能当作机器人的[输入设备]?( )
A. 检测身体是否歪斜的[平衡传感器](像感觉站得稳不稳的小秤)
B. 机器人内部安装好的[智能程序](像它的大脑,用来思考和控制动作)
C. 用来接收人类指令的[遥控器]
D. 机器人的[摄像头眼睛](用来拍下其他机器人的位置)
✅ 正解答案:B
🔍 逐题解析:
输入设备:计算机输入设备包括键盘、鼠标、扫描仪、麦克风、触摸屏等。输出设备包括显示器、打印机、音响等。
【选项分析】
A. 检测身体是否歪斜的[平衡传感器] — 输入设备,×
B. 机器人内部安装好的[智能程序] — 软件,不属于输入设备,√
C. 用来接收人类指令的[遥控器] — 输入设备,×
D. 机器人的[摄像头眼睛] — 输入设备,×
【最终答案】B
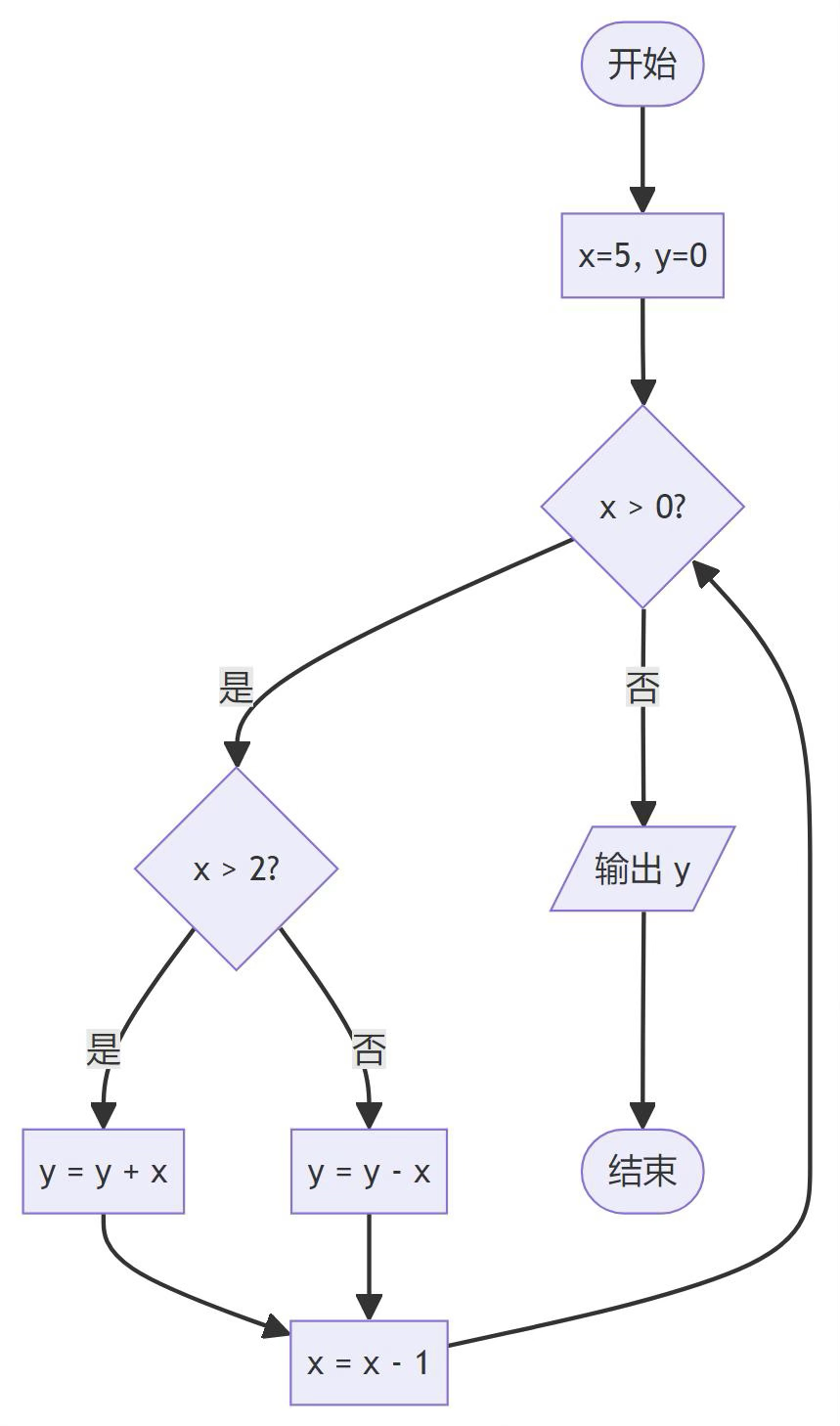
单选题 第2题
下列流程图的输出结果是?( )

A. 8
B. 9
C. 10
D. 11
✅ 正解答案:B
🔍 逐题解析:
流程图逻辑:初始化x=5,y=0,循环直到x≤0。x>2时y=y+x,否则y=y-x,最后x=x-1。
执行:
第1次:x=5,y=0→y=0+5=5→x=4
第2次:x=4,y=5→y=5+4=9→x=3
第3次:x=3,y=9→y=9+3=12→x=2
第4次:x=2,y=12→y=12-2=10→x=1
第5次:x=1,y=10→y=10-1=9→x=0
输出y=9。
【最终答案】B
单选题 第3题
默认小猫角色,执行下列程序,小猫说出的内容是?( )
A. 9
B. 10
C. 11
D. 13
✅ 正解答案:C
🔍 逐题解析:
程序使用重复执行直到n<0。n初始为8,result初始为0。
执行:
第1轮:n=8(偶)→result=0+8=8,n=8/2-1=3
第2轮:n=3(奇)→result=8+1=9,n=3-1=2
第3轮:n=2(偶)→result=9+2=11,n=2/2-1=0
第4轮:n=0(偶)→result=11+0=11,n=0/2-1=-1
n=-1<0,结束
输出result=11。
【最终答案】C
单选题 第4题
默认小猫角色,执行下列程序,小猫说出的内容是?( )

A. 120
B. 153
C. 158
D. 720
✅ 正解答案:B
🔍 逐题解析:
程序计算1!+2!+3!+4!+5!。
外循环i=1到5,内循环计算i的阶乘fact,累加到total。
i=1: fact=1, total=1
i=2: fact=2, total=1+2=3
i=3: fact=6, total=3+6=9
i=4: fact=24, total=9+24=33
i=5: fact=120, total=33+120=153
小猫说出153。
【最终答案】B
单选题 第5题
针对小球角色,执行下列程序,舞台中会出现小球的个数是?( )
A. 6
B. 7
C. 8
D. 9
✅ 正解答案:C
🔍 逐题解析:
外循环i=1~5,内循环j=1~3。当(i+j)为偶数时盖章。
满足条件的组合:
i=1: 2个; i=2: 1个; i=3: 2个; i=4: 1个; i=5: 2个
总计:2+1+2+1+2=8个
【最终答案】C
单选题 第6题
默认小猫角色,执行下列程序,绘制出如下图形,红框处填写的数值是?( )




A. i除以3的余数
B. i除以2的余数
C. i
D. i/3
✅ 正解答案:A
🔍 逐题解析:
程序绘制螺旋图形,颜色按红→蓝→绿循环。需要用取余运算实现颜色循环。对3取余可实现0,1,2的循环:
i=0: 0mod3=0(红); i=1: 1mod3=1(蓝); i=2: 2mod3=2(绿); i=3: 3mod3=0(红)
其他选项无法实现循环。
【最终答案】A
单选题 第7题
默认小猫角色,变量c的定义如下,执行下列程序,小猫说出的内容是?( )


A. 11
B. 12
C. 13
D. 14
✅ 正解答案:B
🔍 逐题解析:
c为私有变量,字符串s="ccfgesp"共7个字符,循环创建7个克隆体。c="c"(5次,不大于g)→每次ans+2,共+10。c="s",c="p"(2次,大于g)→每次ans+1,共+2。总计ans=10+2=12。
【最终答案】B
单选题 第8题
默认小猫角色,执行下列程序,小猫说出的内容是?( )

A. 321321
B. 123123
C. 321123
D. 123321
✅ 正解答案:C
🔍 逐题解析:
text="123",s初始化为空,循环3次:
第1次:s=1+空+1="11"
第2次:s=2+11+2="2112"
第3次:s=3+2112+3="321123"
小猫说出321123。
【最终答案】C
单选题 第9题
默认小猫角色,执行下列程序,输入 gesp 后,小猫说出的内容是?( )

A. 138
B. 128
C. 118
D. 108
✅ 正解答案:A
🔍 逐题解析:
程序建立字母表列表,字母在列表中的编号对应字母表位置。输入"gesp":g=7×1=7, e=5×2=10, s=19×3=57, p=16×4=64。总和=7+10+57+64=138。小猫说出138。
【最终答案】A
单选题 第10题
默认小猫角色,执行下列程序,小猫说出的内容是?( )

A. Dolphin
B. Elephant
C. Whale
D. Butterfly
✅ 正解答案:D
🔍 逐题解析:
程序找出列表中字符长度最长的单词。列表:[Cat(3), Elephant(8), Tiger(5), Whale(5), Butterfly(9), Dolphin(7)]。逐个比较:最终ans="Butterfly"。小猫说出Butterfly。
【最终答案】D
单选题 第11题
默认小猫角色,执行下列程序,小猫说出的内容是?( )

A. apple banana grape cherry orange
B. apple grape banana cherry orange
C. apple grape banana cherry
D. apple grape orange banana cherry
✅ 正解答案:B
🔍 逐题解析:
初始列表:[apple, banana, cherry]。
第一步:加入orange → [apple, banana, cherry, orange]。
第二步:在第2项前插入grape → [apple, grape, banana, cherry, orange]。
小猫说出:apple grape banana cherry orange。
【最终答案】B
单选题 第12题
默认小猫角色,执行下列程序,小猫说出的内容是?( )

A. 12
B. 14
C. 15
D. 18
✅ 正解答案:D
🔍 逐题解析:
程序计算列表相邻元素增量之和,但每次增加量最大不超过3。列表:[1,2,7,10,15,17,22],d=3,result初始为3。
执行:i=1: diff=1≤3→result=4; i=2: diff=5>3→result=7; i=3: diff=3≤3→result=10; i=4: diff=5>3→result=13; i=5: diff=2≤3→result=15; i=6: diff=5>3→result=18。小猫说出18。
【最终答案】D
单选题 第13题
下列程序可以枚举1000以内的完全数,红框处填入的积木块是?( )



A. sum_factors > num
B. sum_factors < num
C. sum_factors = num
D. sum_factors = num - 2
✅ 正解答案:C
🔍 逐题解析:
程序枚举1000以内完全数:遍历每个数,找所有真因子求和,判断是否等于原数。
A. sum_factors > num — 盈数,不符合
B. sum_factors < num — 亏数,不符合
C. sum_factors = num — 正确,完全数定义
D. sum_factors = num - 2 — 错误
【最终答案】C
单选题 第14题
下列程序可以在三位数的自然数中找出至少有一位数字是5的所有整数,红框处填入的积木块是?( )


A. 红框1: (向下取整[i/10])除以10的余数; 红框2: 向下取整[i/100]
B. 红框1: (向下取整[i/10])除以10的余数; 红框2: i/100
C. 红框1: (i/10)除以10的余数; 红框2: 向下取整[i/100]
D. 红框1: (i/10)除以10的余数; 红框2: i/100
✅ 正解答案:A
🔍 逐题解析:
提取三位数的个位、十位、百位:个位a=i mod 10,十位b=(i/10向下取整) mod 10,百位c=向下取整(i/100)。
判断a=5或b=5或c=5来确定是否至少有一位是5。选项A正确。
【最终答案】A
单选题 第15题
下面的程序是用枚举法查找最大值的索引,红框处填入的积木块是?( )




A. 第i项 > 第maxIndex项
B. 第maxIndex项 > 第i项
C. 第i+1项 > 第maxIndex项
D. 第maxIndex项 > 第i+1项
✅ 正解答案:A
🔍 逐题解析:
程序用枚举法查找最大值索引:初始化maxIndex=1, i=2,逐个比较。
如果第i项 > 第maxIndex项,则更新maxIndex=i。
以[3,7,2,9,5]为例:i=2: 7>3→maxIndex=2; i=3: 2<7→不更新; i=4: 9>7→maxIndex=4; i=5: 5<9→不更新。
最终maxIndex=4(最大值9的位置)。
【最终答案】A
━━━━━━━━━ 第二部分:判断题(每题2分,共10题) ━━━━━━━━━
判断题 第1题
默认小猫角色,执行下列程序,小猫说出的内容是4。
A. 正确
B. 错误
✅ 正解答案:B
🔍 逐题解析:
程序循环5次,a和b经过复杂的增减运算:a最终=-3,b最终=7。
最后"连接a和b"在Scratch中是字符串拼接,结果为"-37"而非4。
题目说法错误。
【最终答案】B(错误)
判断题 第2题
默认小猫角色,执行下列程序,舞台如下图所示。

A. 正确
B. 错误
✅ 正解答案:B
🔍 逐题解析:
程序循环9次画三角形,每画完3条线后抬笔向右跳100步。
三个三角形的顶边刚好连接,形成锯齿状连续图形。
但循环结束后(第9次),会再执行一次"抬笔移动100步",小猫最终停在最右侧三角形右边100步的位置。
题目描述不准确。
【最终答案】B(错误)
判断题 第3题
默认小猫角色,执行下列程序,按下空格键0.5秒后,舞台中不会出现任何小猫。

A. 正确
B. 错误
✅ 正解答案:B
🔍 逐题解析:
程序创建5个克隆体,本体被隐藏。
按下空格键后,6只猫全部显示。0.5秒后,克隆体消失,但"删除此克隆体"对本体无效,本体依然显示。
舞台上仍有一只本体小猫,不是"不会出现任何小猫"。
【最终答案】B(错误)
判断题 第4题
默认小猫角色,执行下列程序,小猫说出的内容是XYYXYYXY?

A. 正确
B. 错误
✅ 正解答案:A
🔍 逐题解析:
a="X", b="Y", i=0,循环直到i>2:
i=0: a="X"→"XY", i=1
i=1: b="Y"→"YXY", i=2
i=2: a="XY"→"XYYXY", i=3
连接a和b="XYYXY"+"YXY"="XYYXYYXY"。
小猫说出XYYXYYXY,说法正确。
【最终答案】A(正确)
判断题 第5题
默认小猫角色,执行下列程序,小猫说出的内容是gesp ccf org cn。

A. 正确
B. 错误
✅ 正解答案:B
🔍 逐题解析:
程序处理字符串"gesp.ccf.org.cn":第一个循环找第一个点号前的"gesp"加入列表;第二个循环直接把剩余"ccf.org.cn"全部加入列表(没有继续分割)。
最终列表说出:"gesp ccf.org.cn"(只有一个空格),而非"gesp ccf org cn"。
题目说法错误。
【最终答案】B(错误)
判断题 第6题
默认小猫角色,运行下列程序,可以将列表中所有零移动到列表尾部。

A. 正确
B. 错误
✅ 正解答案:A
🔍 逐题解析:
程序采用双指针法:
第一阶段将所有非零元素按顺序移到列表前面;
第二阶段从j位置开始到列表末尾全部填充为0。
以[20,0,7,0,31]为例:
第一阶段[20,7,31,0,31],第二阶段[20,7,31,0,0]。
成功将零移到尾部,非零元素顺序保持不变。
【最终答案】A(正确)
判断题 第7题
某小学男子篮球队招募新成员,要求加入球队的成员身高在135厘米以上(不含135厘米)。运行下列程序,可以得到本次球队能够招募到新成员的人数。
A. 正确
B. 错误
✅ 正解答案:A
🔍 逐题解析:
程序分两阶段处理:第一阶段将身高>135的标记为1,否则标记为0。
[125,127,136,134,137,138,126,135,140,145]→[0,0,1,0,1,1,0,0,1,1]。第二阶段累加列表中的1的个数:ans=5。身高大于135的有5人。
程序正确。
【最终答案】A(正确)
判断题 第8题
默认小猫角色,执行下列程序,小猫说出的内容为cgs。
A. 正确
B. 错误
✅ 正解答案:B
🔍 逐题解析:
s="ccfgesp",步长=2,从第1个字符开始取:i=1:'c'; i=3:'f'; i=5:'e'; i=7:'p'; i=9:空字符。
结果为"cfep",而非"cgs"。题目说法错误。
【最终答案】B(错误)
判断题 第9题
小杨有两个长度相同的字符串A和B,下列程序可以正确计算出有多少个起始位置能满足:从该位置开始的连续3个字符,在A和B中完全相同。

A. 正确
B. 错误
✅ 正解答案:A
🔍 逐题解析:
程序使用标志位flag和双循环实现:外循环i从1到L-2,内循环j从i到i+2检查3个字符是否完全相同。
以A="abcabc", B="abcaaa"为例:i=1: abc=abc ✓→ans=1; i=2: bca=bca ✓→ans=2; i=3: cab≠caa; i=4: abc≠aaa。
最终ans=2,程序正确。
【最终答案】A(正确)
判断题 第10题
默认小猫角色,下列程序能够通过变量is_square的值来判断输入的正整数是否为平方数。

A. 正确
B. 错误
✅ 正解答案:A
🔍 逐题解析:
程序从i=1开始枚举,当i×i=answer时设置is_square=true。
以输入9为例:i=3: 9=9→is_square=true→停止。
以输入10为例:i=4: 16>10→停止(从未触发is_square=true)。
程序能准确判断是否为完全平方数。
【最终答案】A(正确)

讨论交流 (0)
暂无讨论,快来留下你的足迹吧